Differentiate each of the following w.r.t.

Question:

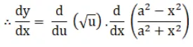
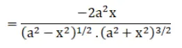
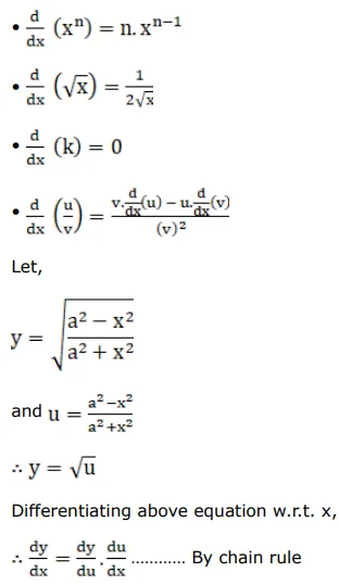
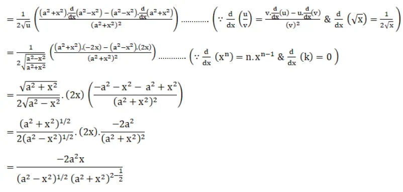
Differentiate each of the following w.r.t. $x$ :

$\sqrt{\frac{a^{2}-x^{2}}{a^{2}+x^{2}}}$

Solution:

Leave a comment