Differentiate each of the following w.r.t

Question:

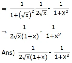
Differentiate each of the following w.r.t $x$ :

$\tan ^{-1}\left\{\frac{\sqrt{x}-x}{1+x^{3 / 2}}\right\}$

Solution:

Leave a comment