Differentiate each of the following w.r.t.

Question:

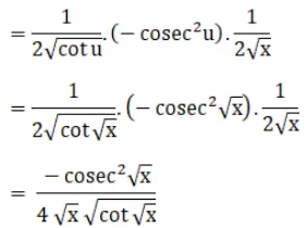
Differentiate each of the following w.r.t. $x$ :

$\sqrt{\cot \sqrt{x}}$

Solution:

Leave a comment