Differentiate each of the following w.r.t

Question:

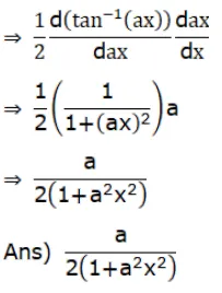
Differentiate each of the following w.r.t $x$ :

$\tan ^{-1}\left\{\frac{\sqrt{1+a^{2} x^{2}}-1}{a x}\right\}$

Solution:

Leave a comment