Differentiate each of the following w.r.t.

Question:

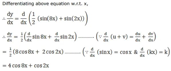
Differentiate each of the following w.r.t. $x$ :

$\sin 5 x \cos 3 x$

Solution:

 

Leave a comment