Differentiate each of the following w.r.t.

Question:

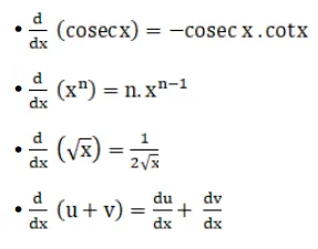
Differentiate each of the following w.r.t. $x$ :

$\sqrt{\operatorname{cosec}\left(x^{3}+1\right)}$

Solution:

Leave a comment