Differentiate each of the following w.r.t

Question:

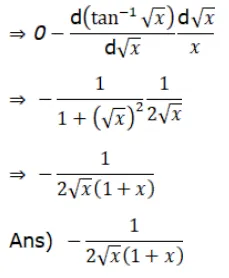
Differentiate each of the following w.r.t $x$ :

$\tan ^{-1}\left(\frac{\sqrt{a}+\sqrt{x}}{1-\sqrt{a x}}\right)$

Solution:

 

Leave a comment