Differentiate each of the following w.r.t.

Question:

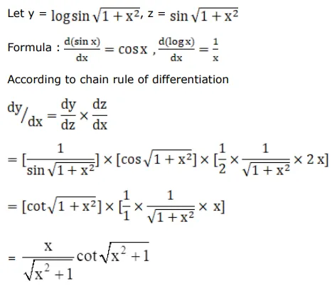
Differentiate each of the following w.r.t. $x$ :

$\log \sin \sqrt{x^{2}+1}$

Solution:

 

Leave a comment