Differentiate each of the following w.r.t.

Question:

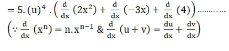
Differentiate each of the following w.r.t. $x$ :

$\left(2 x^{2}-3 x+4\right)^{5}$

Solution:

Leave a comment