Differentiate each of the following w.r.t

Question:

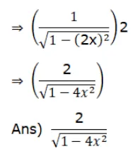
Differentiate each of the following w.r.t $x$ :

$\cos ^{-1}(2 x)+2 \cos ^{-1} \sqrt{1-4 x^{2}}$

Solution:

Leave a comment