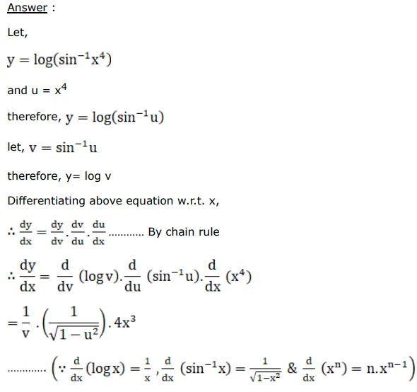
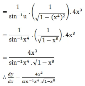
Differentiate each of the following w.r.t.

Question:

Differentiate each of the following w.r.t. $x$ :

$\log \left(\sin ^{-1} x^{4}\right)$

Solution:

Leave a comment