Differentiate each of the following w.r.t.

Question:

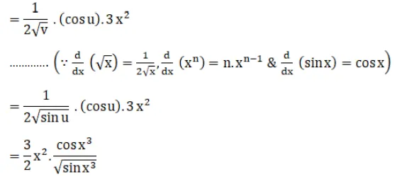
Differentiate each of the following w.r.t. $x$ :

$\sqrt{\sin x^{3}}$

Solution:

$\frac{d}{d x}(\sin x)=\cos x$

Leave a comment