Differentiate each of the following w.r.t.

Question:

Differentiate each of the following w.r.t. $x$ :

(i) $\log \left(x+\frac{1}{x}\right)$

(ii) $\log (\sin (3 x))$

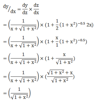
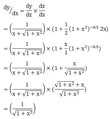
(iii) $\log \left(x+\sqrt{1+x^{2}}\right)$

Solution:

Leave a comment