Differentiate each of the following w.r.t.

Question:

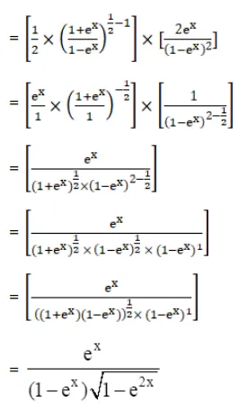
Differentiate each of the following w.r.t. $x$ :

$\sqrt{\frac{1+e^{x}}{1-e^{x}}}$

Solution:

Leave a comment