Differentiate each of the following w.r.t.

Question:

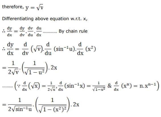
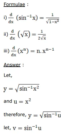
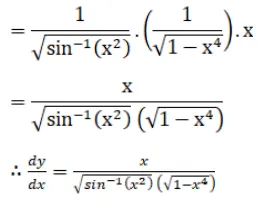
Differentiate each of the following w.r.t. $x$ :

$\sqrt{\sin ^{-1} \mathrm{x}^{2}}$

Solution:

Leave a comment