Differentiate each of the following w.r.t.

Question:

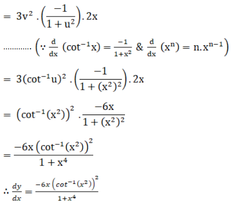
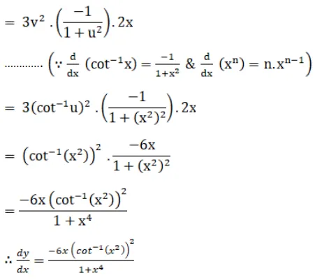
Differentiate each of the following w.r.t. $x$ :

$\left(\cot ^{-1} x^{2}\right)^{3}$

Solution:

Leave a comment