Differentiate each of the following w.r.t.

Question:

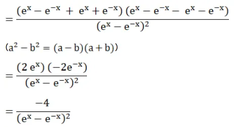
Differentiate each of the following w.r.t. $x$ :

$\frac{e^{x}+e^{-x}}{e^{x}-e^{-x}}$

Solution:

 

Leave a comment