Differentiate each of the following w.r.t.

Question:

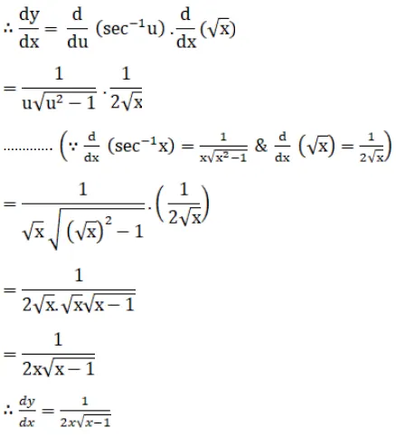
Differentiate each of the following w.r.t. $x$ :

$\sec ^{-1} \sqrt{x}$

 

Solution:

Leave a comment