Differentiate each of the following w.r.t.

Question:

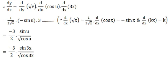
Differentiate each of the following w.r.t. $x$ :

$\sqrt{\cos 3 x}$

Solution:

 

Leave a comment