Differentiate each of the following w.r.t.

Question:

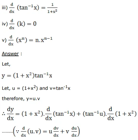
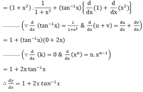
Differentiate each of the following w.r.t. $x$ :

$\left(1+x^{2}\right) \tan ^{-1} x$

Solution:

Leave a comment