Differentiate each of the following w.r.t.

Question:

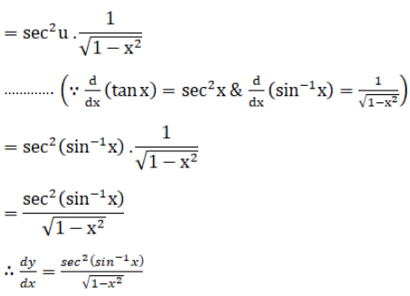
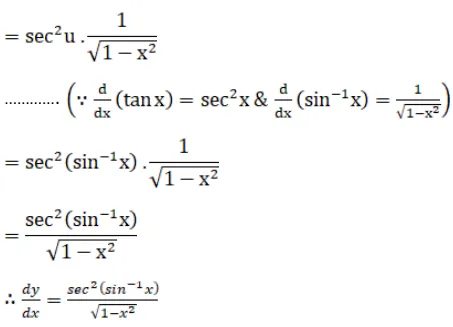
Differentiate each of the following w.r.t. x:

$\tan \left(\sin ^{-1} x\right)$

 

Solution:

Leave a comment