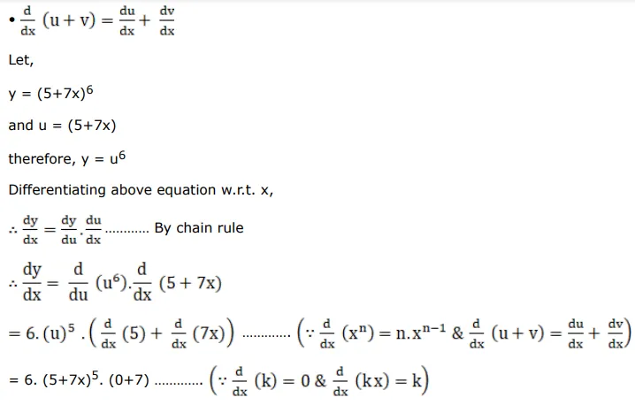
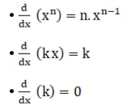
Differentiate each of the following w.r.t.

Question:

Differentiate each of the following w.r.t. $x$ :

$(5+7 x)^{6}$

Solution:

$=42 \cdot(5+7 x)^{5}$

Leave a comment