Differentiate each of the following w.r.t.

Question:

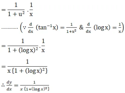
Differentiate each of the following w.r.t. $x$ :

$\tan ^{-1}(\log x)$

Solution:

 

Leave a comment