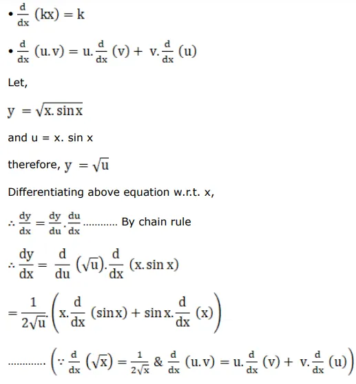
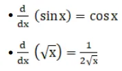
Differentiate each of the following w.r.t.

Question:

Differentiate each of the following w.r.t. $x$ :

$\sqrt{x \sin x}$

Solution:

Leave a comment