Differentiate each of the following w.r.t.

Question:

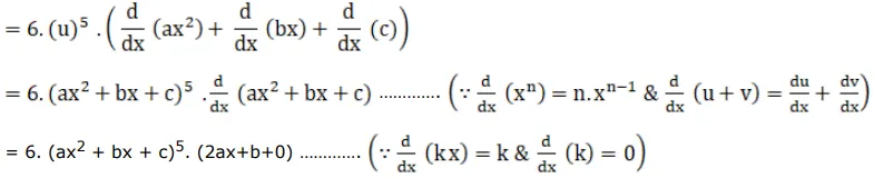
Differentiate each of the following w.r.t. $x$ :

$\left(a x^{2}+b x+c\right)^{6}$

Solution:

Leave a comment