Differentiate each of the following w.r.t.

Question:

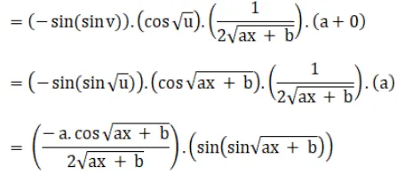
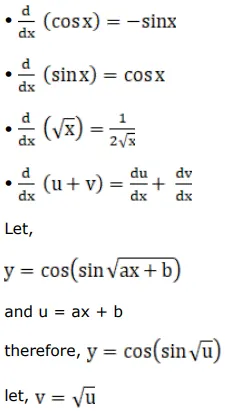
Differentiate each of the following w.r.t. $x$ :

$\cos (\sin \sqrt{a x+b})$

Solution:

Leave a comment