Differentiate each of the following w.r.t.

Question:

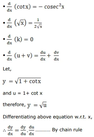
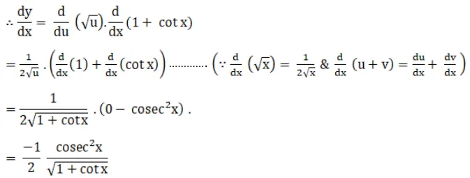
Differentiate each of the following w.r.t. $x$ :

$\sqrt{1+\cot x}$

Solution:

Leave a comment