Differentiate each of the following w.r.t.

Question:

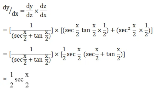
Differentiate each of the following w.r.t. $x$ :

$\log \left(\sec \frac{x}{2}+\tan \frac{x}{2}\right)$

Solution:

Leave a comment