Differentiate each of the following w.r.t

Question:

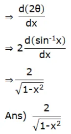
Differentiate each of the following w.r.t $x$ :

$\sec ^{-1}\left(\frac{1}{1-2 x^{2}}\right)$

Solution:

Leave a comment