Differentiate each of the following w.r.t

Question:

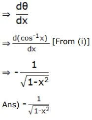
Differentiate each of the following w.r.t $x$ :

$\sin ^{-1}\left\{\sqrt{1-x^{2}}\right\}$

Solution:

Leave a comment