Differentiate each of the following w.r.t

Question:

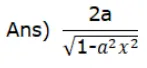
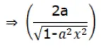
Differentiate each of the following w.r.t $x$ :

$\sin ^{-1}\left\{2 a x \sqrt{1-a^{2} x^{2}}\right\}$

Solution:

Leave a comment