Differentiate each of the following w.r.t

Question:

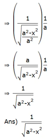
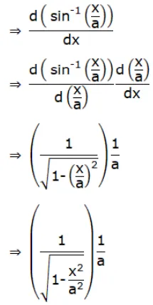
Differentiate each of the following w.r.t $x$ :

$\tan ^{-1}\left\{\frac{x}{\sqrt{a^{2}-x^{2}}}\right\}$

Solution:

.

Leave a comment