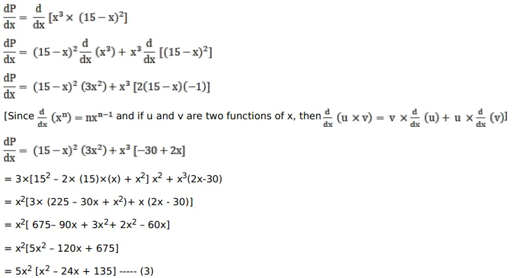
Divide 15 into two parts such that the square of one number multiplied

Question:

Divide 15 into two parts such that the square of one number multiplied with the cube of the other number is maximum.

Solution:

 

Leave a comment