Divide following and find the quotient and remainder.

Question:

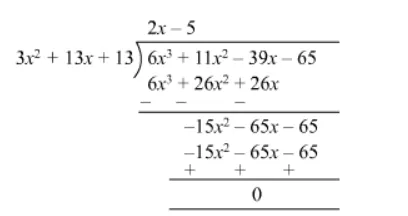
Divide 6x3 + 11x2 − 39x − 65 by 3x2 + 13x + 13 and find the quotient and remainder.

Solution:

Quotient $=2 x-5$

Remainder $=0$

Leave a comment