JEE 2026 Bounce Back 2.O
JEE
JEE 2026 Bounce Back 2.O Course
Best Crash Course for JEE 2nd Attempt
JEE 2027 Ayush Prahaar Special Course
Best JEE Course for Class 11th to 12th Moving Students
JEE 2027 Gurukul Prahaar Course
Best Offline JEE Course for Class 11th to 12th Moving Students
JEE 2028 Early BrahMos Course
Best JEE Course for Class 10th to 11th Moving Students
JEE 2027 Early Warrior Course
Best JEE Course for Class 12th Passing Out Students
Maa Mentorship for JEE
Best Mentorship Program for JEE Students
JEE Padho India Course
Most Affordable Course for JEE
NEET
NEET 2026 Endgame Crash Course
Best Crash Course for NEET 2026
NEET 2027 Early Prahaar Special Course
For Class 11th to 12th Moving Students
NEET 2027 Gurukul Early Prahaar Course
For Class 11th to 12th Moving Students
NEET 2026 Warrior Comeback Special Course
For Dropper/Repeater Students
NEET 2026 Comeback Special Course
For Class 12th Students
NEET 2028 Early BrahMos Course
For Class 10th to 11th Moving Students
NEET 2026 Test Series
India’s Most Result-Oriented Neet Test Series
NEET 2027 Early Warrior Course
For Class 12th Passing Students
NEET 2027 Gurukul Early Warrior Course
For Class 12th Passing Students
Maa Mentorship for NEET
Best Mentorship Program for NEET Students
Class 10
Class 10 Akhiri Jung Crash Course
Best Crash Course For Class 10th Students
eSaral Gurukul Class 10 Champ 2027 Course
Best Offline Course for Class 10th Students
Class 10 Champ 2026 Course
Complete Online Course For Class 10th Students
JEE/NEET 2028 Agni Special Integrated Course
For Class 10
th
+ JEE/NEET Students
Maa Mentorship
Best Mentorship Program for Class 10th Students
Class 9
Class 9 Brahmastra Crash Course 2026
Best Online Crash Course For Class 9
th
Students
eSaral Gurukul Class 9 Captain 2027 Course
Best Offline Course for Class 9th Students
Bravo 2027 Integrated Course
For Class 9
th
+ 10
th
Student
eSaral Gurukul Bravo 2028 Course
Best Offline Integrated Course for Class 9th + 10th Students
JEE/NEET 2029 Shakti Special Integrated Course
For Class 9
th
+ 10
th
+ JEE/NEET Student
Maa Mentorship
Best Mentorship Program for Class 9th Students
Class 8
Class 8 Yodha Crash Course
For Class 8
th
Student
eSaral Gurukul Class 8 Shaurya 2027 Course
Best Offline Course for Class 8th Students
JEE/NEET 2030 Early Vajra Integrated Course
For Class 8
th
Students
Maa Mentorship
Best Mentorship Program for Class 8th Students
More
Contact Us
Hiring
About
Courses:
JEE 2026 Bounce Back 2.O
JEE
JEE Courses
JEE 2026 Bounce Back 2.O Course
Best Crash Course for JEE 2nd Attempt
JEE 2027 Ayush Prahaar Special Course
Best JEE Course for Class 11th to 12th Moving Students
JEE 2027 Gurukul Prahaar Course
Best Offline JEE Course for Class 11th to 12th Moving Students
JEE 2028 Early BrahMos Course
Best JEE Course for Class 10th to 11th Moving Students
JEE 2027 Early Warrior Course
Best JEE Course for Class 12th Passing Out Students
Maa Mentorship for JEE
Best Mentorship Program for JEE Students
JEE Padho India Course
Most Affordable Course for JEE
NEET
NEET Courses
NEET 2026 Endgame Crash Course
Best Crash Course for NEET 2026
NEET 2027 Early Prahaar Special Course
For Class 11th to 12th Moving Students
NEET 2027 Gurukul Early Prahaar Course
For Class 11th to 12th Moving Students
NEET 2026 Warrior Comeback Special Course
For Dropper/Repeater Students
NEET 2026 Comeback Special Course
For Class 12th Students
NEET 2028 Early BrahMos Course
For Class 10th to 11th Moving Students
NEET 2026 Test Series
India’s Most Result-Oriented Neet Test Series
NEET 2027 Early Warrior Course
For Class 12th Passing Students
NEET 2027 Gurukul Early Warrior Course
For Class 12th Passing Students
Maa Mentorship for NEET
Best Mentorship Program for NEET Students
Class 10
Class 10 Courses
Class 10 Akhiri Jung Crash Course
Best Crash Course For Class 10th Students
eSaral Gurukul Class 10 Champ 2027 Course
Best Offline Course for Class 10th Students
Class 10 Champ 2026 Course
Complete Online Course For Class 10th Students
JEE/NEET 2028 Agni Special Integrated Course
For Class 10
th
+ JEE/NEET Students
Maa Mentorship
Best Mentorship Program for Class 10th Students
Class 9
Class 9 Courses
Class 9 Brahmastra Crash Course 2026
Best Online Crash Course For Class 9
th
Students
eSaral Gurukul Class 9 Captain 2027 Course
Best Offline Course for Class 9th Students
Bravo 2027 Integrated Course
For Class 9
th
+ 10
th
Student
eSaral Gurukul Bravo 2028 Course
Best Offline Integrated Course for Class 9th + 10th Students
JEE/NEET 2029 Shakti Special Integrated Course
For Class 9
th
+ 10
th
+ JEE/NEET Student
Maa Mentorship
Best Mentorship Program for Class 9th Students
Class 8
Class 8 Courses
Class 8 Yodha Crash Course
For Class 8
th
Student
eSaral Gurukul Class 8 Shaurya 2027 Course
Best Offline Course for Class 8th Students
JEE/NEET 2030 Early Vajra Integrated Course
For Class 8
th
Students
Maa Mentorship
Best Mentorship Program for Class 8th Students
Divide the sum of
Download now India's Best Exam Prepration App
Class 8-9-10, JEE & NEET
Video Lectures
Live Sessions
Study Material
Tests
Previous Year Paper
Revision
Download eSaral App
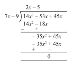
Question:
Divide 14
x
2
− 53
x
+ 45 by 7
x
− 9.
Solution:
Leave a comment
Message*
Name*
Email
Post Comment
eSaral Gurukul
JEE Coaching in Kota
NEET Coaching in Kota
NEET
NEET Question Paper
NEET 2024 Question Paper
NEET 2024 Exam Date
JEE Main
JEE Main 2025
JEE Main Question Paper
JEE Main 2025 Question Paper
JEE Main 2024 Question Paper
JEE Main 2023 Question Paper
JEE Main 2022 Question Paper
JEE Main 2021 Question Paper
JEE Advanced
JEE Advanced Question Paper
JEE Advanced 2023 Question Paper
Our Telegram Channel
eSaral JEE
eSaral NEET
eSaral Class 9-10
All Study Material