Divide the sum of and find the quotient and remainder.

Question:

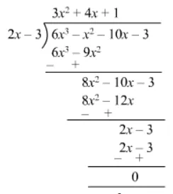
Divide 6x3 − x2 − 10x − 3 by 2x − 3 and find the quotient and remainder.

Solution:

Quotient $=3 x^{2}+4 x+1$

Remainder $=0$

Leave a comment