Draw a rough sketch of the region
Question:
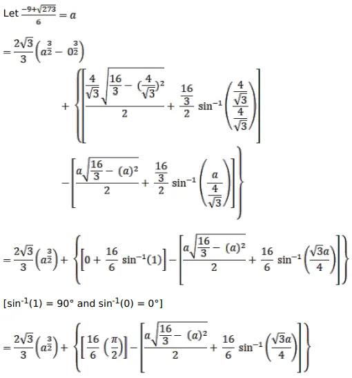
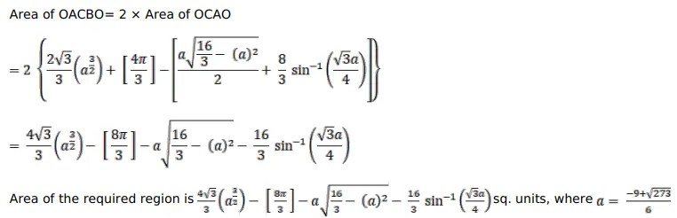
Draw a rough sketch of the region $\left\{(x, y): y^{2} \leq 3 x, 3 x^{2}+3 y^{2} \leq 16\right\}$ and find the area enclosed by the region, using the method of integration.
Solution:







