Evaluate each of the following

Question:

Evaluate each of the following

(i) $\sqrt[3]{27}+\sqrt[3]{0.008}+\sqrt[3]{0.064}$

(ii) $\sqrt[3]{1000}+\sqrt[3]{0.008}-\sqrt[3]{0.125}$

(iii) $\sqrt[3]{\frac{729}{216}} \times \frac{6}{9}$

(iv) $\sqrt[3]{\frac{0.027}{0.008}} \div \sqrt{\frac{0.09}{0.04}}-1$

(v) $\sqrt[3]{0.1 \times 0.1 \times 0.1 \times 13 \times 13 \times 13}$

 

 

Solution:

(i) To evaluate the value of the given expression, we need to proceed as follows:

$\sqrt[3]{27}+\sqrt[3]{0.008}+\sqrt[3]{0.064}=\sqrt[3]{3 \times 3 \times 3}+\sqrt[3]{\frac{8}{1000}}+\sqrt[3]{\frac{64}{1000}}$

$=\sqrt[3]{3 \times 3 \times 3}+\frac{\sqrt[3]{8}}{\sqrt[3]{1000}}+\frac{\sqrt[3]{64}}{\sqrt[3]{1000}}$

$=\sqrt[3]{3 \times 3 \times 3}+\frac{\sqrt[3]{2 \times 2 \times 2}}{\sqrt[3]{1000}}+\frac{\sqrt[3]{4 \times 4 \times 4}}{\sqrt[3]{1000}}$

$=3+\frac{2}{10}+\frac{4}{10}$

$=3+0.2+0.4$

$=3.6$

Thus, the answer is 3.6.

(ii)
To evaluate the value of the given expression, we need to proceed as follows:

$\sqrt[3]{1000}+\sqrt[3]{0.008}-\sqrt[3]{0.125}=\sqrt[3]{10 \times 10 \times 10}+\sqrt[3]{\frac{8}{1000}}-\sqrt[3]{\frac{125}{1000}}$

$=\sqrt[3]{10 \times 10 \times 10}+\frac{\sqrt[3]{8}}{\sqrt[3]{1000}}-\frac{\sqrt[3]{125}}{\sqrt[3]{1000}}$

$=\sqrt[3]{10 \times 10 \times 10}+\frac{\sqrt[3]{2^{3}}}{\sqrt[3]{1000}}-\frac{\sqrt[3]{5^{3}}}{\sqrt[3]{1000}}$

$=10+\frac{2}{10}-\frac{5}{10}$

$=10+0.2-0.5$

$=9.7$

Thus, the answer is 9.7.

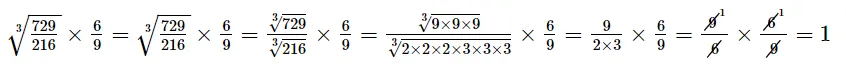
(iii)
To evaluate the value of the given expression, we need to proceed as follows:

Thus, the answer is 1.

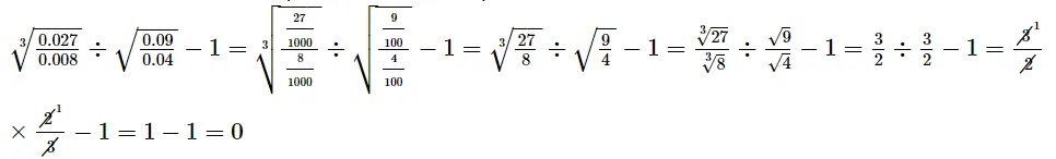
(iv)
To evaluate the value of the expression, we need to proceed as follows:

Thus, the answer is 0.

(v)
To evaluate the value of the expression, we need to proceed as follows:

$\sqrt[3]{0.1 \times 0.1 \times 0.1 \times 13 \times 13 \times 13}=\sqrt[3]{\frac{1}{10} \times \frac{1}{10} \times \frac{1}{10} \times 13 \times 13 \times 13}=\sqrt[3]{\frac{13 \times 13 \times 13}{10 \times 10 \times 10}}=\frac{\sqrt[3]{13 \times 13 \times 13}}{\sqrt[3]{10 \times 10 \times 10}}=\frac{13}{10}$

= 1.3

Thus, the answer is 1.3.

 

 

 

Leave a comment