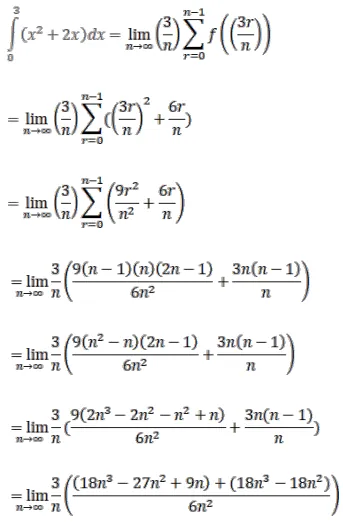
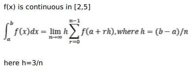
Evaluate each of the following integrals as the limit of sums:

Question:

Evaluate each of the following integrals as the limit of sums:

$\int_{0}^{3}\left(x^{2}+2 x\right) d x$

Solution:

Leave a comment