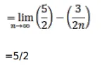
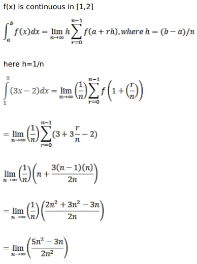
Evaluate each of the following integrals as the limit of sums:

Question:

Evaluate each of the following integrals as the limit of sums:

$\int_{1}^{2}(3 x-2) d x$

Solution:

Leave a comment