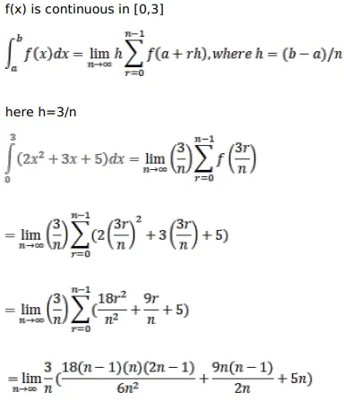
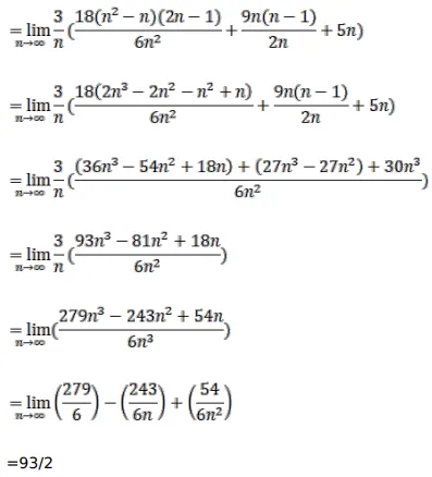
Evaluate each of the following integrals as the limit of sums:

Question:

Evaluate each of the following integrals as the limit of sums:

$\int_{0}^{3}\left(2 x^{2}+3 x+5\right) d x$

Solution:

Leave a comment