Evaluate each of the following integrals as the limit of sums:

Question:

Evaluate each of the following integrals as the limit of sums:

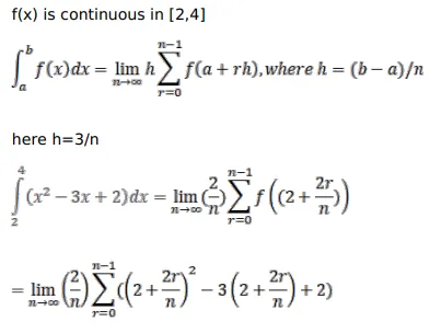
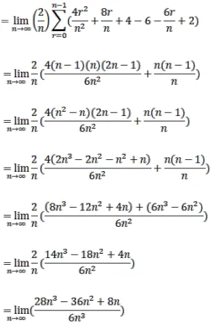
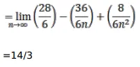
$\int_{2}^{4}\left(x^{2}-3 x+2\right) d x$

Solution:

Leave a comment