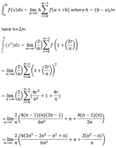
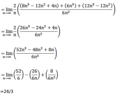
Evaluate each of the following integrals as the limit of sums:

Question:

Evaluate each of the following integrals as the limit of sums:

$\int_{1}^{3} x^{2} d x$

Solution:

$f(x)$ is continuous in $[1,3]$

Leave a comment