Evaluate each of the following integrals as the limit of sums:

Question:

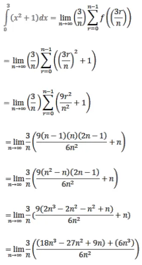
Evaluate each of the following integrals as the limit of sums:

$\int_{0}^{3}\left(x^{2}+1\right) d x$

Solution:

Leave a comment