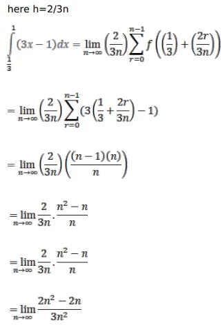
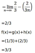
Evaluate each of the following integrals as the limit of sums:

Question:

Evaluate each of the following integrals as the limit of sums:

$\int_{0}^{1}|3 x-1| d x$

Solution:

$=1$

Leave a comment