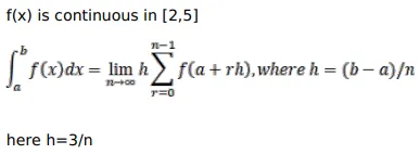
Evaluate each of the following integrals as the limit of sums:

Question:

Evaluate each of the following integrals as the limit of sums:

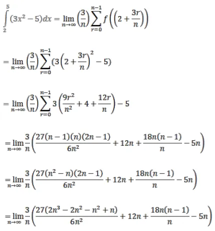
$\int_{2}^{5}\left(3 x^{2}-5\right) d x$

Solution:

Leave a comment