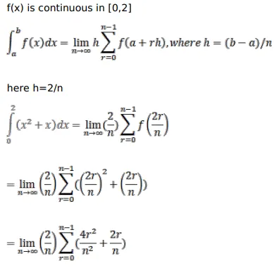
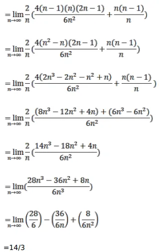
Evaluate each of the following integrals as the limit of sums:

Question:

Evaluate each of the following integrals as the limit of sums:

$\int_{0}^{2}\left(x^{2}+x\right) d x$

Solution:

Leave a comment