Evaluate each of the following integrals as the limit of sums:

Question:

Evaluate each of the following integrals as the limit of sums:

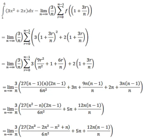
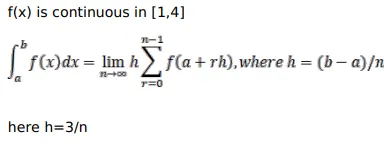
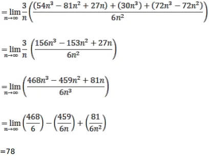
$\int_{1}^{4}\left(3 x^{2}+2 x\right) d x$

Solution:

Leave a comment