Evaluate each of the following integrals as the limit of sums:

Question:

Evaluate each of the following integrals as the limit of sums:

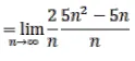
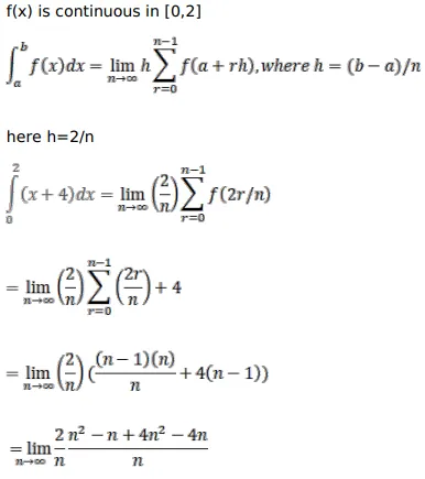
$\int_{0}^{2}(x+4) d x$

Solution:

Leave a comment