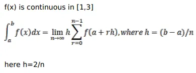
Evaluate each of the following integrals as the limit of sums:

Question:

Evaluate each of the following integrals as the limit of sums:

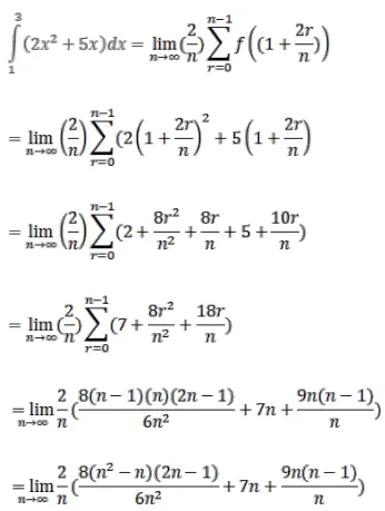
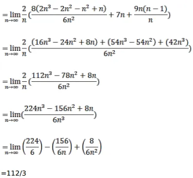
$\int_{1}^{3}\left(2 x^{2}+5 x\right) d x$

Solution:

Leave a comment